Упр.638 ГДЗ Колягин Ткачёва 11 класс (Алгебра)
Решение #1
Решение #2

Рассмотрим вариант решения задания из учебника Колягин, Ткачёва, Фёдорова 11 класс, Просвещение:
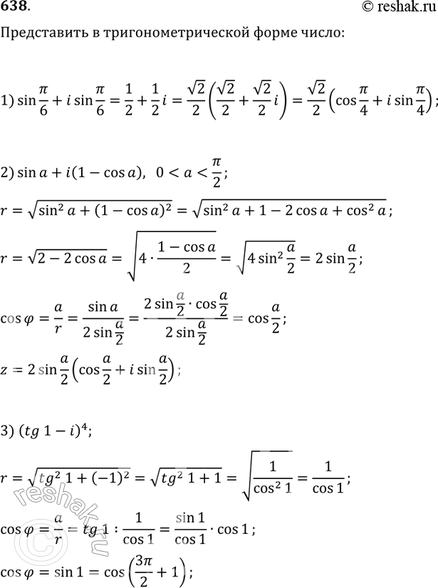
638. Представить в тригонометрической форме число:
1) sin пи/6 + isin пи/6;
2) sina + i(1-cosa), 0 < a < пи/2;
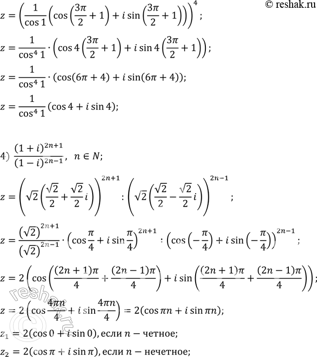
3) (tg1-i)4;
4) (1+i)2n+1/(1-i)2n-1, n принадлежит N.
*размещая тексты в комментариях ниже, вы автоматически соглашаетесь с пользовательским соглашением