Упр.639 ГДЗ Колягин Ткачёва 11 класс (Алгебра)
Решение #1
Решение #2

Рассмотрим вариант решения задания из учебника Колягин, Ткачёва, Фёдорова 11 класс, Просвещение:
639. Применяя формулу Муавра, доказать равенство:
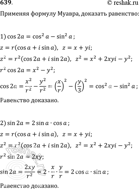
1) cos 2a = cos2 a - sin2 a;
2) sin 2a = 2sin a cos a;
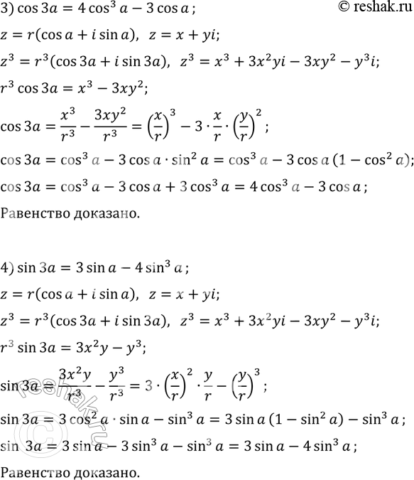
3) cos 3a = 4cos3 a - 3cos a;
4) sin 3a = 3sin a - 4 sin3 a.
*размещая тексты в комментариях ниже, вы автоматически соглашаетесь с пользовательским соглашением