Упр.639 ГДЗ Никольский Потапов 8 класс (Алгебра)
Решение #1

Рассмотрим вариант решения задания из учебника Никольский, Потапов 8 класс, Просвещение:
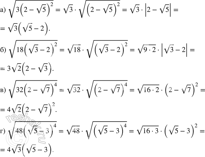
639. Вынесите множитель из-под знака корня:
а) корень 3(2- корень 5)2;
б) корень 18(корень 3-2)2;
в) корень 32(2- корень 7)4;
г) корень 48 (корень 5 - 3)4.
*размещая тексты в комментариях ниже, вы автоматически соглашаетесь с пользовательским соглашением