Упр.646 ГДЗ Колягин Ткачёва 11 класс (Алгебра)
Решение #1
Решение #2

Рассмотрим вариант решения задания из учебника Колягин, Ткачёва, Фёдорова 11 класс, Просвещение:
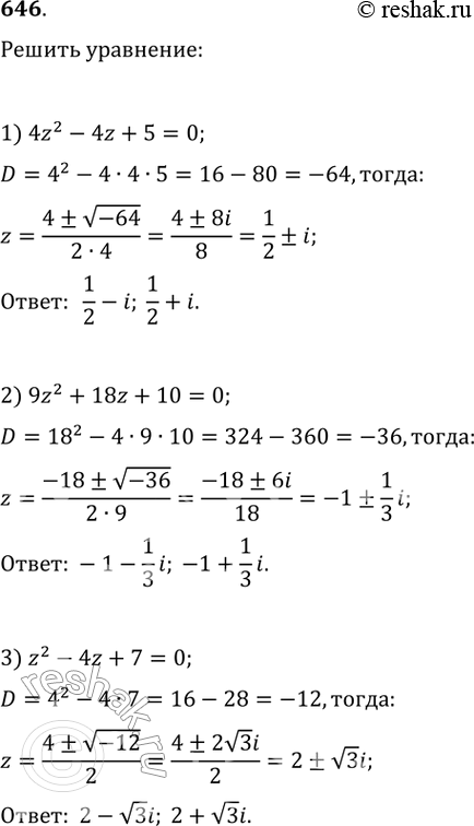
646. 1) 4z2 - 4z + 5 = 0;
2) 9z2 + 18z + 10 = 0;
3) z2 - 4z + 7 = 0;
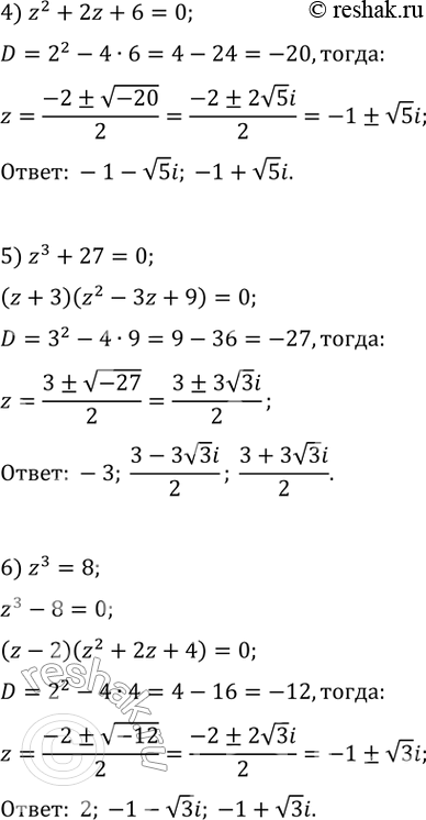
4) z2 + 2z + 6 = 0;
5) z3 + 27 = 0:
6) z3 = 8.
*размещая тексты в комментариях ниже, вы автоматически соглашаетесь с пользовательским соглашением