Упр.649 ГДЗ Колягин Ткачёва 11 класс (Алгебра)
Решение #1
Решение #2

Рассмотрим вариант решения задания из учебника Колягин, Ткачёва, Фёдорова 11 класс, Просвещение:
Разложить квадратный трёхчлен на множители (649—650).
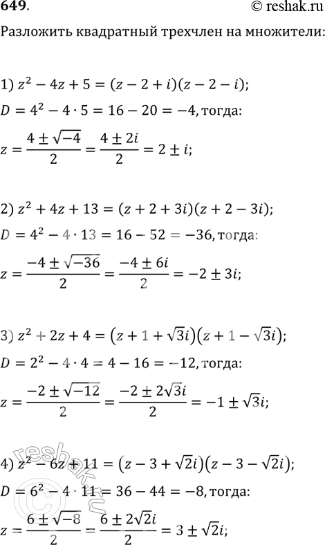
649. 1) z2 - 4z + 5;
2) z2 + 4z + 13;
3) z2 + 2z + 4;
4) z2-6z+ 11.
*размещая тексты в комментариях ниже, вы автоматически соглашаетесь с пользовательским соглашением