Упр.653 ГДЗ Колягин Ткачёва 11 класс (Алгебра)
Решение #1
Решение #2

Рассмотрим вариант решения задания из учебника Колягин, Ткачёва, Фёдорова 11 класс, Просвещение:
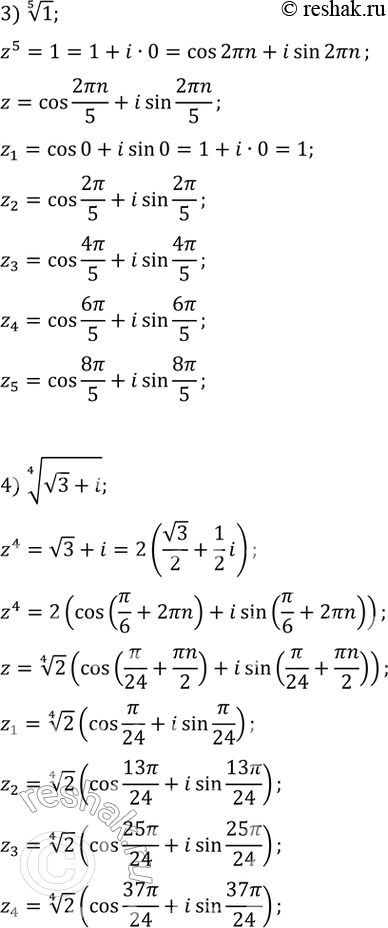
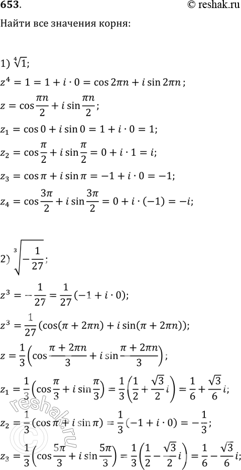
653 Найти все значения корня:
1) корень 4 степени 1;
2) корень 3 степени -1/27;
3) корень 5 степени 1;
4) корень 4 степени корень 3 + i.
*размещая тексты в комментариях ниже, вы автоматически соглашаетесь с пользовательским соглашением