Упр.654 ГДЗ Колягин Ткачёва 8 класс (Алгебра)
Решение #1

Рассмотрим вариант решения задания из учебника Колягин, Ткачёва, Фёдорова 8 класс, Просвещение:
654. Решить неравенство:
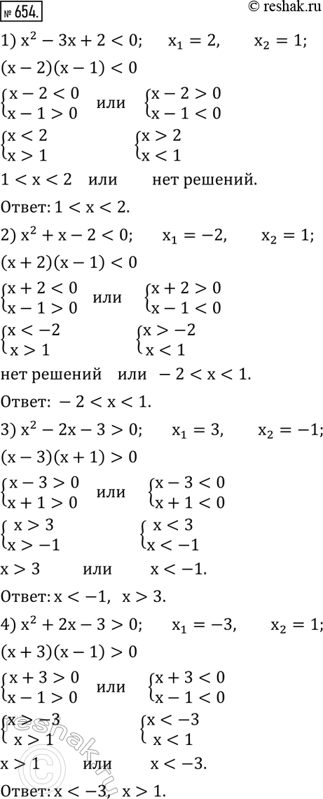
1) x^2-3x+2<0;
2) x^2+x-2<0;
3) x^2-2x-3>0;
4) x^2+2x-3>0;
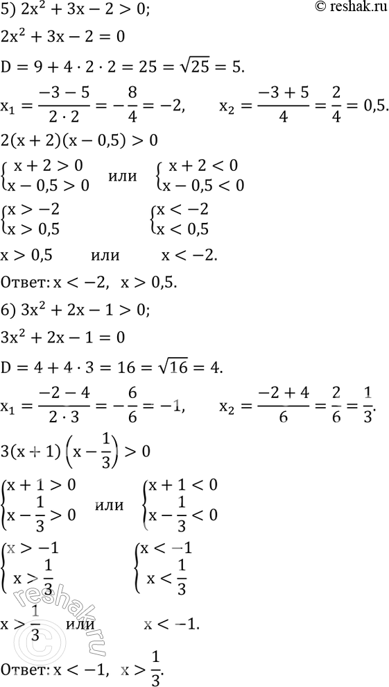
5) 2x^2+3x-2>0;
6) 3x^2+2x-1>0.
*размещая тексты в комментариях ниже, вы автоматически соглашаетесь с пользовательским соглашением