Упр.713 ГДЗ Колягин Ткачёва 11 класс (Алгебра)
Решение #1
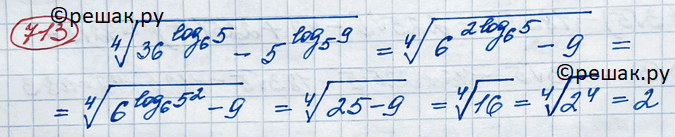
Решение #2

Рассмотрим вариант решения задания из учебника Колягин, Ткачёва, Фёдорова 11 класс, Просвещение:
713. Найти значение выражения корень 4 степени 36log65 - 5log59.
*размещая тексты в комментариях ниже, вы автоматически соглашаетесь с пользовательским соглашением