Упр.722 ГДЗ Колягин Ткачёва 8 класс (Алгебра)
Решение #1

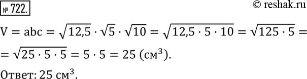
Рассмотрим вариант решения задания из учебника Колягин, Ткачёва, Фёдорова 8 класс, Просвещение:
722. Найти объем прямоугольного параллелепипеда, если высота его v12,5 см, ширина v5 см, длина v10 см.
*размещая тексты в комментариях ниже, вы автоматически соглашаетесь с пользовательским соглашением