Упр.725 ГДЗ Колягин Ткачёва 8 класс (Алгебра)
Решение #1

Рассмотрим вариант решения задания из учебника Колягин, Ткачёва, Фёдорова 8 класс, Просвещение:
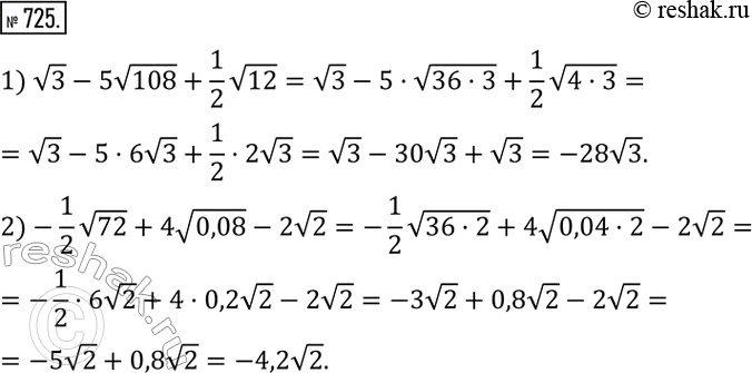
725. Упростить:
1) v3-5v108+1/2 v12;
2)-1/2 v72+4v0,08-2v2.
*размещая тексты в комментариях ниже, вы автоматически соглашаетесь с пользовательским соглашением