Упр.731 ГДЗ Колягин Ткачёва 8 класс (Алгебра)
Решение #1

Рассмотрим вариант решения задания из учебника Колягин, Ткачёва, Фёдорова 8 класс, Просвещение:
731. Решить уравнение:
1) 1,5x-4x^2=6,3x-x^2;
2) 11y-15=(y+5)(y-3);
3) 3x(x+2)=2x(x-2);
4) 1/4 (3x^2+1)-(40x+3)/6=(x-3)/12;
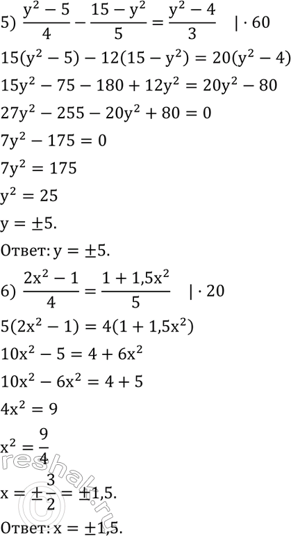
5) (y^2-5)/4-(15-y^2)/5=(y^2-4)/3;
6) (2x^2-1)/4=(1+1,5x^2)/5.
*размещая тексты в комментариях ниже, вы автоматически соглашаетесь с пользовательским соглашением