Упр.755 ГДЗ Колягин Ткачёва 11 класс (Алгебра)
Решение #1
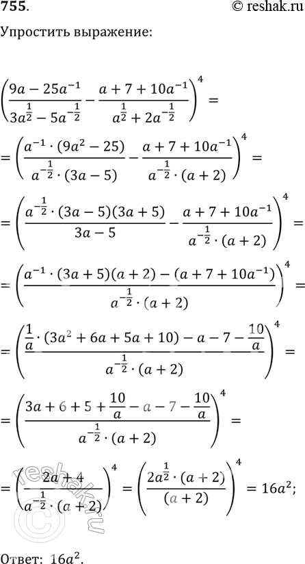
Решение #2

Рассмотрим вариант решения задания из учебника Колягин, Ткачёва, Фёдорова 11 класс, Просвещение:
755 (9a-25a^-1/3a1/2 - 5a^-1/2 - a+7+10a^-1/a1/2 + 2a^-1/2)4.
*размещая тексты в комментариях ниже, вы автоматически соглашаетесь с пользовательским соглашением