Упр.775 ГДЗ Колягин Ткачёва 11 класс (Алгебра)
Решение #1
Решение #2

Рассмотрим вариант решения задания из учебника Колягин, Ткачёва, Фёдорова 11 класс, Просвещение:
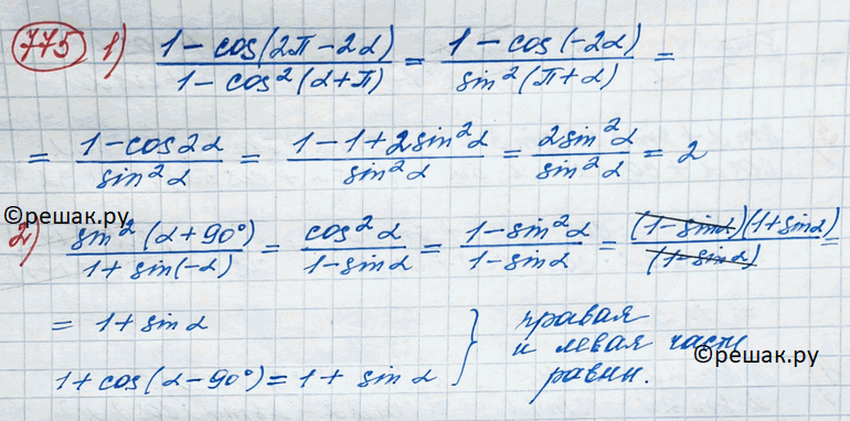
775. Доказать тождество:
1) 1-cos(2пи - 2a)/1-cos2(a+пи)=2;
2) sin(a+ 90)/1+sin(-a) = 1+cos(a-90).
*размещая тексты в комментариях ниже, вы автоматически соглашаетесь с пользовательским соглашением