Упр.785 ГДЗ Колягин Ткачёва 11 класс (Алгебра)
Решение #1
Решение #2

Рассмотрим вариант решения задания из учебника Колягин, Ткачёва, Фёдорова 11 класс, Просвещение:
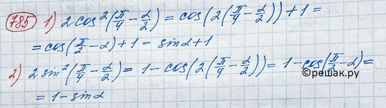
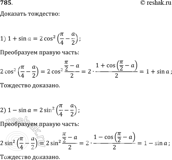
785 1) 1+ sina = 2cos2(пи/4 - a/2);
2) 1-sina = 2sin2 (пи/4 - a/2).
*размещая тексты в комментариях ниже, вы автоматически соглашаетесь с пользовательским соглашением