Упр.8 ГДЗ Колягин Ткачёва 11 класс (Алгебра)
Решение #1
Решение #2

Рассмотрим вариант решения задания из учебника Колягин, Ткачёва, Фёдорова 11 класс, Просвещение:
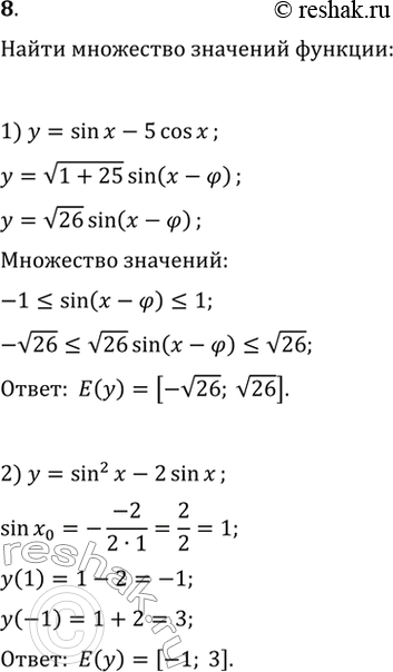
8. 1) у = sinx - 5cosx;
2) y = sin2x - 2sinx;
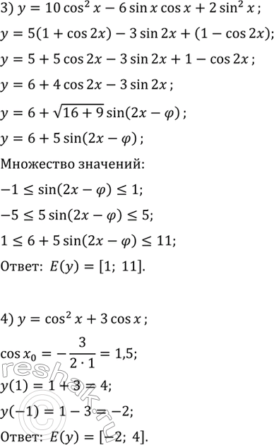
3) у = 10cos2x - 6sinxcosx + 2sin2x;
4) у = cos2x + 3cosx.
*размещая тексты в комментариях ниже, вы автоматически соглашаетесь с пользовательским соглашением