Упр.800 ГДЗ Колягин Ткачёва 11 класс (Алгебра)
Решение #1
Решение #2

Рассмотрим вариант решения задания из учебника Колягин, Ткачёва, Фёдорова 11 класс, Просвещение:
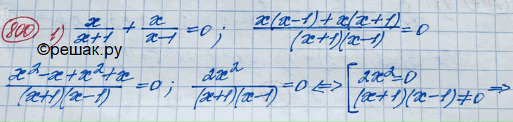
800 1) x/x+1 + x/x-1=0;
2) 2x2/3x+1 - 3=3x-21/3x+1.
*размещая тексты в комментариях ниже, вы автоматически соглашаетесь с пользовательским соглашением