Упр.819 ГДЗ Никольский Потапов 8 класс (Алгебра)
Решение #1

Рассмотрим вариант решения задания из учебника Никольский, Потапов 8 класс, Просвещение:
Решите уравнение (819—820):
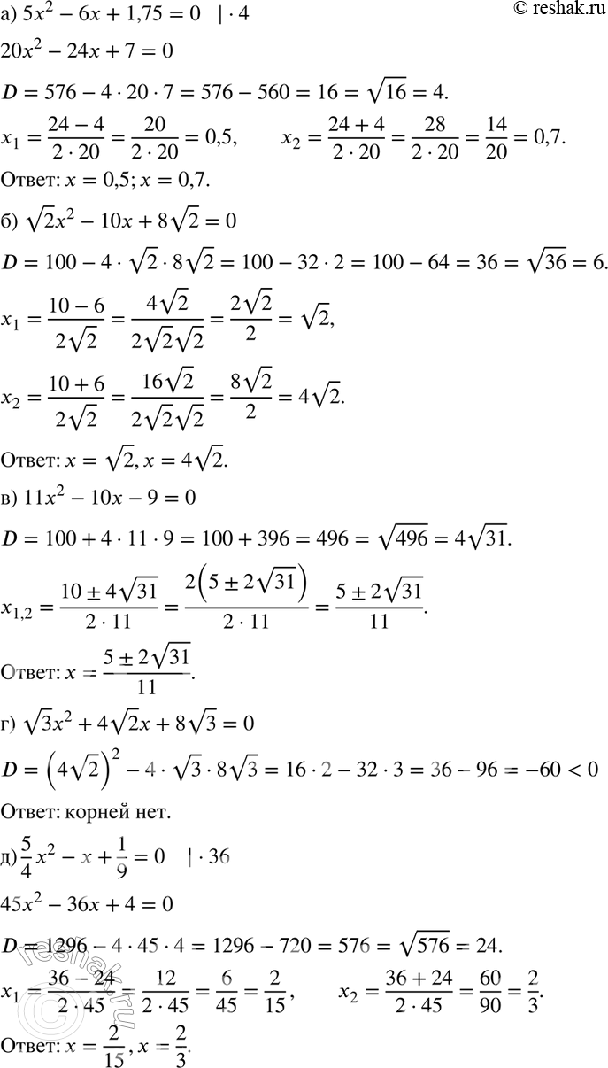
819 а) 5x2-6x +1,75=0;
б) корень 2 * x2 - 10x+ 8 корень 2=0;
в) 11x2-10x-9=0;
г) корень 3*x2 + 4 корень 2*x + 8 корень 3=0;
д) 5/4*x2-x+1/9=0;
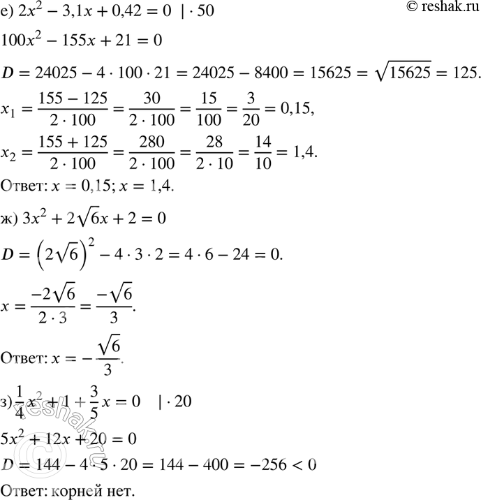
е) 2x2-3,1x+0,42=0;
ж) 3x2+2 корень 6*x+2=0;
з) 1/3*x2+1+3/5*x=0.
*размещая тексты в комментариях ниже, вы автоматически соглашаетесь с пользовательским соглашением