Упр.820 ГДЗ Никольский Потапов 8 класс (Алгебра)
Решение #1

Рассмотрим вариант решения задания из учебника Никольский, Потапов 8 класс, Просвещение:
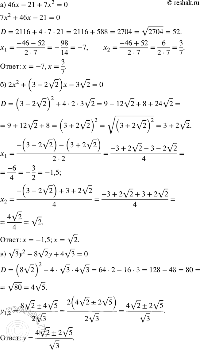
820. а) 46x - 21 + 7x2 = 0;
б) 2x2 + (3 - 2 корень 2)x - 3 корень 2 = 0;
в) корень 3*у2 - 8 корень 2*y + 4 корень 3 = 0;
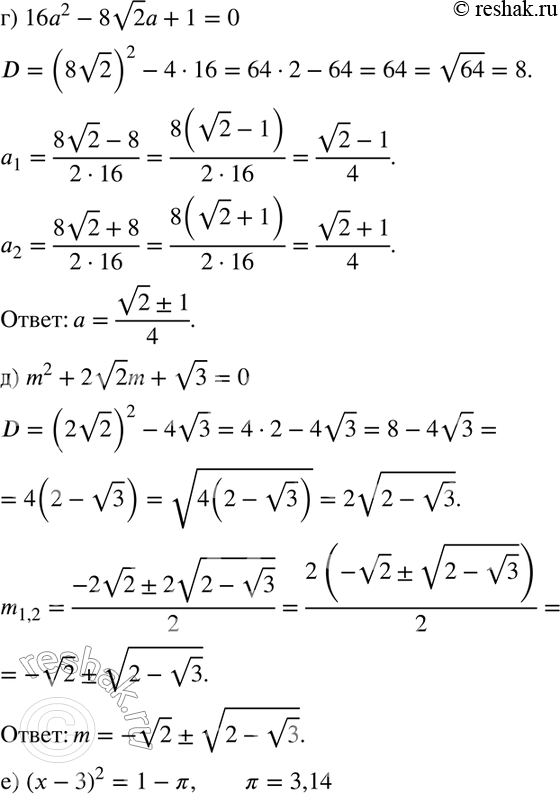
г) 16а2 -8 корень 2*a + 1 = 0;
д) m2 + 2 корень 2*m + корень 3 = 0;
е) (x - 3)2 = 1 - пи;
ж) (2x + 3)2 - (х - 2)2 = 5;
з) (5 - 3х)(3х + 5) - 2х(х - 3) = 25.
*размещая тексты в комментариях ниже, вы автоматически соглашаетесь с пользовательским соглашением