Упр.869 ГДЗ Колягин Ткачёва 11 класс (Алгебра)
Решение #1
Решение #2

Рассмотрим вариант решения задания из учебника Колягин, Ткачёва, Фёдорова 11 класс, Просвещение:
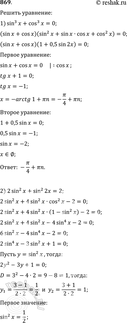
869. 1) sin3x + cos3x = 0;
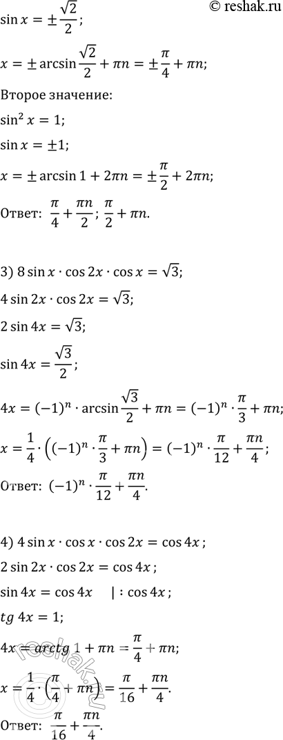
2) 2sin2x + sin2 2x = 2;
3) 8 sinx cos 2x cosx = корень 3;
4) 4sinxcosxcos2x = cos4x.
*размещая тексты в комментариях ниже, вы автоматически соглашаетесь с пользовательским соглашением