Упр.881 ГДЗ Колягин Ткачёва 11 класс (Алгебра)
Решение #1
Решение #2

Рассмотрим вариант решения задания из учебника Колягин, Ткачёва, Фёдорова 11 класс, Просвещение:
881 1) 2sinx/cosx - cos3x - 1/3 = 4sin2(x+ пи/4);
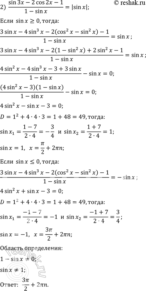
2) sin3x - 2cos2x - 1/1-sinx = |sinx|.
*размещая тексты в комментариях ниже, вы автоматически соглашаетесь с пользовательским соглашением