Упр.889 ГДЗ Колягин Ткачёва 11 класс (Алгебра)
Решение #1
Решение #2

Рассмотрим вариант решения задания из учебника Колягин, Ткачёва, Фёдорова 11 класс, Просвещение:
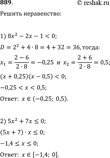
889. 1) 8х2-2х-1< 0;
2) 5х2 + 7х<=0.
*размещая тексты в комментариях ниже, вы автоматически соглашаетесь с пользовательским соглашением