Вводные упражнения 16 ГДЗ Колягин Ткачёва 8 класс (Алгебра)
Решение #1

Рассмотрим вариант решения задания из учебника Колягин, Ткачёва, Фёдорова 8 класс, Просвещение:
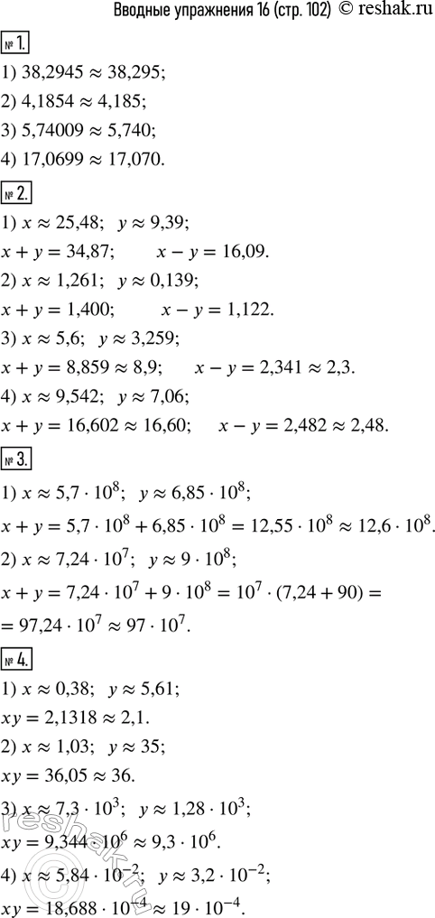
1. Округлить до тысячных число 38,2945; 4,1854; 5,74009; 17,0699.
2. Известно, что в записях приближенных значений чисел x и y все цифры строго верные. Найти x+y и x-y с точностью до верных десятичных знаков:
1) x?25,48; y?9,39; 2) x?1,261; y?0,139;
3) x?5,6; y?3,259; 4) x?9,542; y?7,06.
3. Найти x+y, если:
1) x?5,7•?10?^8; y?6,85•?10?^8; 2) x?7,24•?10?^7; y?9•?10?^8.
4. Найти x·y, если:
1) x?0,38; y?5,61; 2) x?1,03; y?35;
3) x?7,3•?10?^3; y?1,28•?10?^3; 4) x?5,84•?10?^(-2); y?3,2•?10?^(-2).
*размещая тексты в комментариях ниже, вы автоматически соглашаетесь с пользовательским соглашением