Вводные упражнения 24 ГДЗ Колягин Ткачёва 8 класс (Алгебра)
Решение #1

Рассмотрим вариант решения задания из учебника Колягин, Ткачёва, Фёдорова 8 класс, Просвещение:
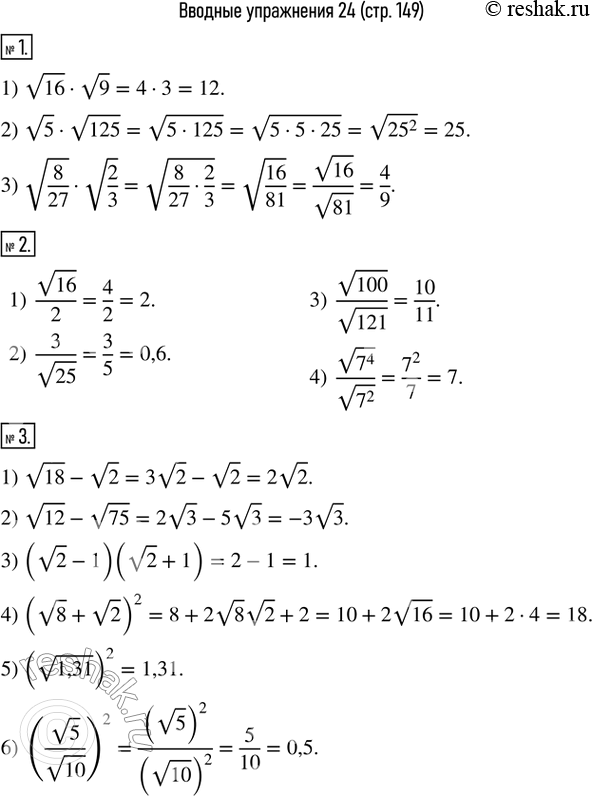
1. Вычислить: 1) v16•v9; 2) v5•v125; 3) v(8/27)•v(2/3).
2. Найти значение выражения: 1) v16/2; 2) 3/v25; 3) v100/v121; 4) v(7^4 )/v(7^2 ).
3. Упростить выражение:
1) v18-v2; 2) v12-v75; 3) (v2-1)(v2+1);
4) (v8+v2)^2; 5) (v1,31)^2; 6) (v5/v10)^2.
*размещая тексты в комментариях ниже, вы автоматически соглашаетесь с пользовательским соглашением