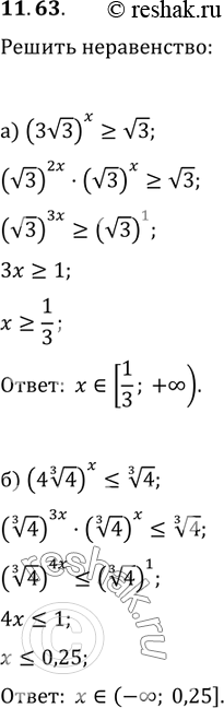
Упр.11.63 ГДЗ Мордковича 11 класс профильный уровень (Алгебра)
Решение #1
Решение #2(записки учителя)
Решение #3(записки школьника)

Рассмотрим вариант решения задания из учебника Мордкович, Семенов 11 класс, Мнемозина:
а)(3 корень 3)x больше или равно корень 3;
б)(4 корень 3 степени 4)x меньше или равно корень 3 степени 4;
в)(9 корень 3 степени 4)x меньше или равно 3 корень 3;
г)(8 корень 5 степени 4)x больше или равно корень 3 степени 32.
*размещая тексты в комментариях ниже, вы автоматически соглашаетесь с пользовательским соглашением