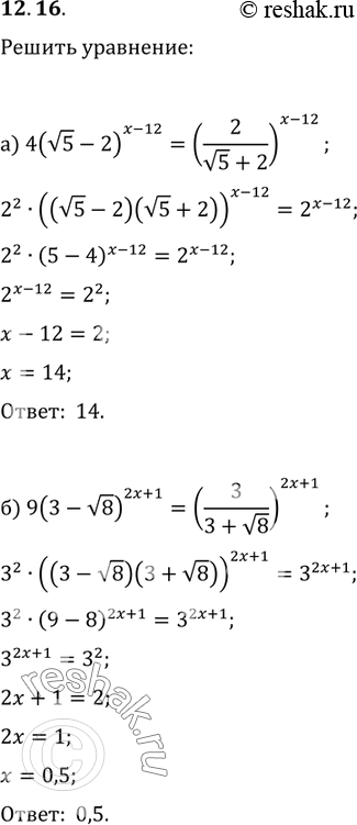
Упр.12.16 ГДЗ Мордковича 11 класс профильный уровень (Алгебра)
Решение #1
Решение #2(записки учителя)
Решение #3(записки школьника)

Рассмотрим вариант решения задания из учебника Мордкович, Семенов 11 класс, Мнемозина:
12.16 а)4( корень 5 - 2)(x-12)=(2/(корень 5 + 2))(x-12);
б)9(3-корень 8)(2x+1)=(3/(3+корень 8))(2x+1)
*размещая тексты в комментариях ниже, вы автоматически соглашаетесь с пользовательским соглашением