Упр.16.32 ГДЗ Мордковича 11 класс профильный уровень (Алгебра)
Решение #1
Решение #2(записки учителя)
Решение #3(записки школьника)

Рассмотрим вариант решения задания из учебника Мордкович, Семенов 11 класс, Мнемозина:
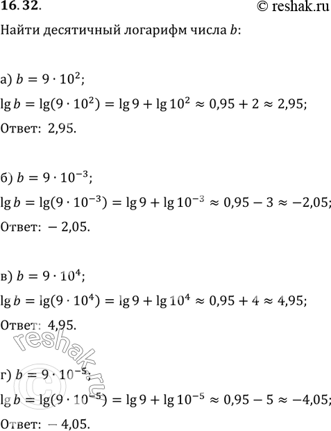
Положительное число b записано в стандартном виде b = b0 * 10n, где 1 < b0 < 10 и n — целое число. Найдите десятичный логарифм числа b:
а) b = 9 * 10^2;б) b = 9 * 10^-3;в) b = 9 * 10^4;г) Ъ = 9 * 10^-5. (Для справки: lg 9 = 0,95.)
*размещая тексты в комментариях ниже, вы автоматически соглашаетесь с пользовательским соглашением