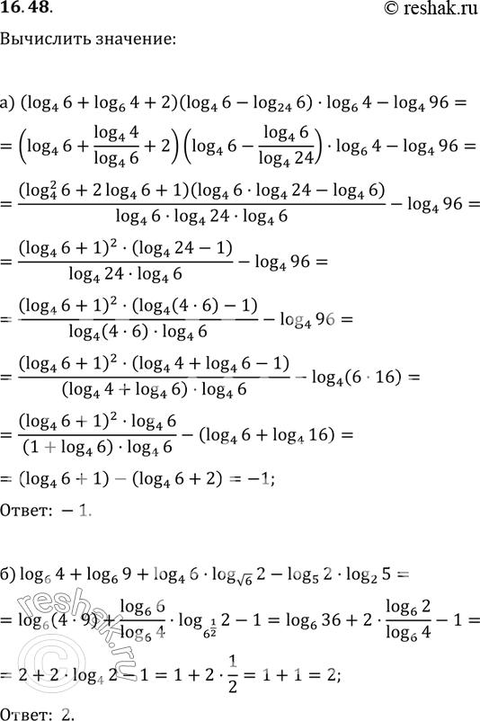
Упр.16.48 ГДЗ Мордковича 11 класс профильный уровень (Алгебра)
Решение #1
Решение #2(записки учителя)
Решение #3(записки школьника)

Рассмотрим вариант решения задания из учебника Мордкович, Семенов 11 класс, Мнемозина:
а)(log4(6)+log6(4)+2)(log4(6)-log24(6))*log6(4)-log4(96);
б)log5(4)+log6(9)+log4(6)*log корень 6(2)-log5(2)*log2(5).
*размещая тексты в комментариях ниже, вы автоматически соглашаетесь с пользовательским соглашением