Упр.19.24 ГДЗ Мордковича 11 класс профильный уровень (Алгебра)
Решение #1
Решение #2(записки учителя)
Решение #3(записки школьника)

Рассмотрим вариант решения задания из учебника Мордкович, Семенов 11 класс, Мнемозина:
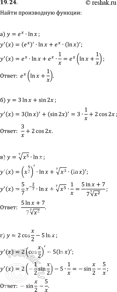
19.24. Найдите производную функции:
а) у = ехlnх; в) у = корень 7 степени x5 lnx;
г) у = 2 cosx/2 - 5lnx.
б)y=3lnx + sin2x;
*размещая тексты в комментариях ниже, вы автоматически соглашаетесь с пользовательским соглашением