Упр.8.20 ГДЗ Мордковича 11 класс профильный уровень (Алгебра)
Решение #1
Решение #2(записки учителя)
Решение #3(записки школьника)

Рассмотрим вариант решения задания из учебника Мордкович, Семенов 11 класс, Мнемозина:
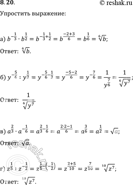
Упростите выражение:
8.20
а) b-1/3 * b^1/2;б)y^-5/6: y1/3;в)a2/3 * a-1/6;г)z1/5:z-1/2.
*размещая тексты в комментариях ниже, вы автоматически соглашаетесь с пользовательским соглашением