Упр.7.6 ГДЗ Мордковича 10 класс профильный уровень (Алгебра)
Решение #1
Решение #2(записки учителя)
Решение #3(записки школьника)

Рассмотрим вариант решения задания из учебника Мордкович, Семенов 10 класс, Мнемозина:
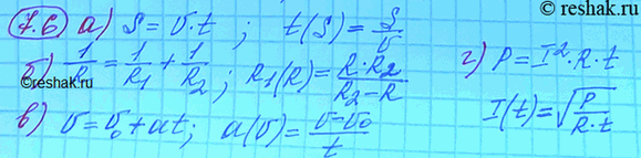
Перед вами известные физические формулы, связывающие несколько переменных величин. Выразите указанную величину как функцию от величины, записанной в скобках
*размещая тексты в комментариях ниже, вы автоматически соглашаетесь с пользовательским соглашением