Упр.19.6 ГДЗ Мордковича 11 класс профильный уровень (Алгебра)
Решение #1
Решение #2(записки учителя)
Решение #3(записки школьника)

Рассмотрим вариант решения задания из учебника Мордкович, Семенов 11 класс, Мнемозина:
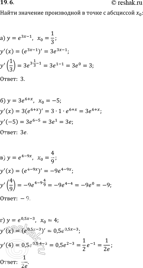
19.6. а) у = е(3х-1), х0 =1\3; в) У = е(4-9х), х0 =4/9
б) у = 3е(6+x), х0 = -5; г) у = е(0,5x-3), x0 = 4.
*размещая тексты в комментариях ниже, вы автоматически соглашаетесь с пользовательским соглашением