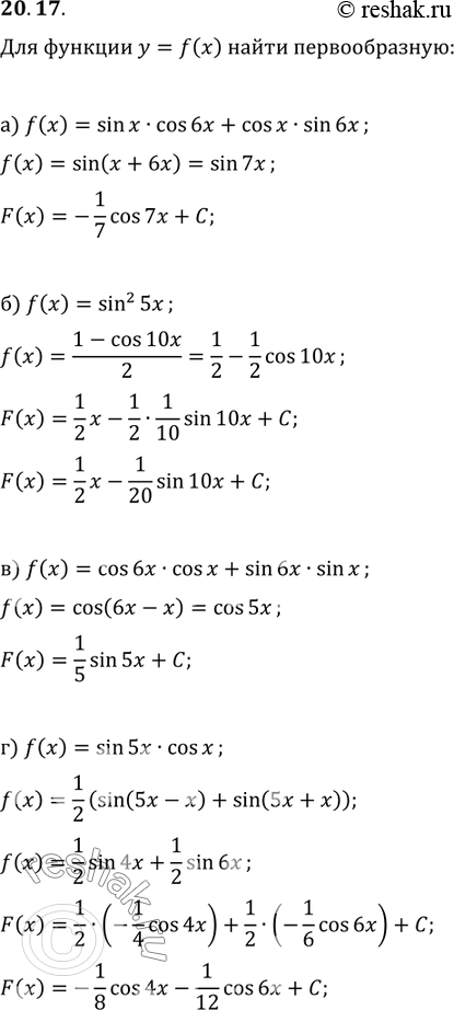
Упр.20.17 ГДЗ Мордковича 11 класс профильный уровень (Алгебра)
Решение #1
Решение #2(записки учителя)
Решение #3(записки школьника)

Рассмотрим вариант решения задания из учебника Мордкович, Семенов 11 класс, Мнемозина:
20.17 а)f(x)=sinxcos6x+cossin6x;
б)f(x)=sin2(5x);
в)f(x)=cos6xcosx+sin6xsinx;
г)f(x)=sin5xcosx.
*размещая тексты в комментариях ниже, вы автоматически соглашаетесь с пользовательским соглашением