Упр.20.21 ГДЗ Мордковича 11 класс профильный уровень (Алгебра)
Решение #1
Решение #2(записки учителя)
Решение #3(записки школьника)

Рассмотрим вариант решения задания из учебника Мордкович, Семенов 11 класс, Мнемозина:
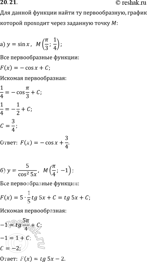
20.21 а)y=sinx, M(пи/3;1/4);
б)y=5/cos2(5x), M(Пи/4;-1);
в)y=cosx, M(Пи/6;1);
г)y=1/sin3(x/3), M(3Пи/4;0).
*размещая тексты в комментариях ниже, вы автоматически соглашаетесь с пользовательским соглашением